
摘要:为了提高经济型双相不锈钢2101(LDX 2101)的热加工性能,系统地研究了应变速率对LDX 2101的热拉伸行为、组织演变和断裂机理的影响。结果表明,铁素体通过连续动态再结晶软化,奥氏体也可能在0.1s-1的低应变速率下通过类似于连续动态再结晶的机理开始软化。在应变速率为5s-1时,在铁素体和奥氏体中都观察到类似于不连续动态再结晶的软化机理。研究表明主要的断裂机理是孔隙累积断裂模式。在0.1s-1的应变速率下,由于奥氏体的软化程度较低,裂纹形成并扩展到铁素体中。当应变速率增加到5s-1时,奥氏体的动态再结晶行为由于位错的加速积累和较高的存储能量而增强。铁素体和奥氏体的显微硬度和应变分布差异减小,裂纹扩展趋势减弱,从而提高了热塑性。研究结果对了解LDX 2101和其他两相合金的热塑性具有重要意义。
关键词:经济型双相不锈钢2101 热拉伸行为 组织演变 断裂机理 应变速率
1简介
经济型双相不锈钢2101(LDX 2101)具有良好的耐局部腐蚀、耐应力腐蚀开裂和高强度的综合性能。与传统的双相不锈钢相比,LDX 2101使用廉价的锰和氮来代替昂贵的镍,被认为是具有成本效益的潜在候选材料,广泛应用于核工业、化学工业和食品工业。但与其他单相不锈钢相比,LDX 2101的热变形行为更为复杂,难以进行热加工,严重阻碍了其大规模的工业应用。边缘开裂是传统的双相不锈钢热变形过程中长期存在的问题,对LDX 2101尤为突出。
LDX 2101在热变形条件下的边缘开裂问题尚未完全解决。为了避免钢的热裂纹,必须考虑几个工艺参数,如变形温度和应变速率。工艺参数不当会影响最终产品的表面质量。通常认为应变速率是影响双相不锈钢热变形行为的重要因素。许多研究小组研究了应变速率对这些传统双相不锈钢热变形行为的影响。这些研究大多集中在材料受压应力作用时的热压缩过程。Patra等观察了LDX 2101在800~1000℃热压缩过程中的组织演变,研究了其对热加工性能的影响。Kingklang等人在不同温度和应变速率下对2507双相不锈钢进行了热压缩试验,并提出了可用于设计和优化高温双相不锈钢制造工艺的流变应力模型。Fang等人观察到,在LDX 2101的热压缩试验期间,裂纹在α/γ界面处形成,并逐渐扩展到铁素体基体中。Ha等人通过热压缩研究了添加(C+N)的S32101双相不锈钢的高温变形。结果表明,热变形开裂源于铁素体-奥氏体界面处的析出相。Cizek等人通过热压缩研究了21Cr-10Ni-3Mo双相钢中奥氏体和铁素体的微观结构演变和软化机理。奥氏体的动态软化很大一部分归因于不连续动态再结晶,铁素体内的软化机理被归类为连续动态再晶。Mozumder等人研究了Fe-Mn-al-Ni-C轻钢在1223~1423K温度范围和10s-1应变速率下的压缩变形行为。结果表明,面心立方(FCC)相通过不连续动态再结晶进行结晶,体心立方(BCC)相在FCC/BCC界面附近表现出类似不连续动态再结晶的机理。Haghdadi等人通过热压缩实验研究了高温变形温度下铁素体软化机理与奥氏体/铁素体相应变速率之间的关系。Haghdadi等人还研究了23Cr-6Ni-3Mo 双相不锈钢在热压下的奥氏体微观结构演变和软化过程。然而,关于双相不锈钢的热拉伸过程的研究成果很少。在热加工过程中,边缘宽度方向的应力逐渐减小到零。长度方向的应力由压应力转变为拉应力,必然导致热变形行为的差异。此外,边缘处的拉应力成为开裂的外部驱动力。因此,有必要研究LDX 2101在不同应变速率下的热拉伸行为和断裂机理,以便为实际生产提供指导。
考虑到上述问题,本研究的目的是对LDX 2101在热拉伸变形过程中不同应变速率下的微观结构演变、软化机制和断裂机制进行详细分析。
2实验部分
热拉伸试验中使用的实验材料为LDX 2101,化学成分为0.033C、22.0Cr、1.28Ni、0.13Mo、4.52Mn、0.222 N、0.009 P(wt%),其余为铁。LDX 2101采用电弧炉、氩氧炉脱碳、钢包精炼以及连铸工艺制备的。
Gleeble-1500用于对材料进行热拉伸试验。为了模拟热轧的实际状态,降低了不利因素和均匀结构的影响,在热拉伸试验前将材料在1250℃下固溶5h。然后将材料切成Φ10×120mm圆棒进行热拉伸试验。拉伸试样以10℃s-1的加热速率加热至1250℃,保持5 min以消除热梯度,然后以5℃s-1的速率冷却至1050℃。拉伸试验前,试样在变形温度下保持60s。然后,分别以0.1、0.5、1和5s-1的速度拉断。拉伸试验结束后,每个试样在水中淬火以保留变形组织。
为了研究应变速率对LDX 2101热拉伸转变的影响,使用Abaqus软件模拟了不同变形条件下拉伸断裂处的应变分布,并根据模拟结果在应变为0.1、0.2、0.3时,沿拉伸方向(TD)采样,如图1所示。试样在10%草酸溶液中进行电解蚀刻(电压为7V,时间为25s)后,使用DM2500光学显微镜和QUANTA FEG 450研究拉伸试验后试样的微观结构,并使用Voxel3000纳米显微计算机断层扫描(CT)系统分析孔隙率。用HV-1000Z显微维氏硬度计测定了奥氏体和铁素体的硬度。利用QUANTA FEG 450电子背散射衍射分数(EBSD)分析了拉伸试样两相的应力应变分布和变形机理。将晶界分为低角度晶界(LAGBs,2°-10°)、中角度晶界(MAGBs,10°-15°)和高角度晶界(HAGBs,>15°)。为了消除表面应力,试样在10%高氯酸乙醇中电解抛光,电压为30V,时间为20s。透射电子显微镜(TEM)是在200kv的JEM-2200FS场发射电子显微镜上进行的。

图1 1050℃下断裂试样和断裂试样观察区的模拟应变、
应变速率分别为0.1和5 s-1。
3结果
3.1 热拉伸行为
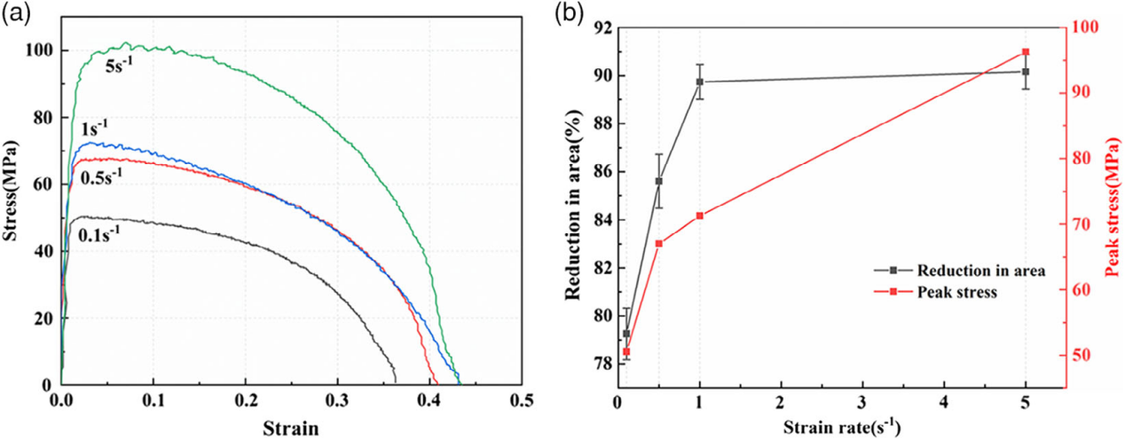
图2a为1050℃下LDX 2101在不同应变速率0.1、0.5、1、5s-1下的热拉伸真应力应变曲线。不管应变速率如何,所有的流变曲线都显示出峰值应力,然后随着应变的增加而降低。流变应力首先由于应变硬化机理而增大,直到达到最大值,然后由于动态回复(DRV)和动态再结晶(DRX)的软化而略有减小。图2b显示了峰值压力和断面收缩率(RA)随应变速率的变化。峰值应力随应变速率的增大而增大,这主要是由于变形时间的缩短和大量位错的累积造成的。根据著名的泰勒硬化定律,金属材料的强度随位错密度的增加而单调增加。同时,RA值也随应变速率的增大而增大。实验结果表明,应变速率对材料的断裂和软化有显著影响。

图2.LDX 2101在1050℃下0.1~5 s-1范围内不同应变速率下的热塑性流动行为。a) 真应力-应变曲线和b)峰值压力和RA随应变速率的变化。
3.2两相组织演变
3.2.1铁素体的微观结构演变
图3显示了应变速率为0.1s-1时热拉伸期间的微观结构变化。结果表明,在低应变(0.1)时,在铁素体相中发现了大量LAGBs。当应变增加到0.3时,观察到MAGBs和HAGBs的数量增加,形成包含这三种晶界的混合网络。图3d–f显示了不同应变水平(0.1、0.2和0.3)下铁素体中取向错向角的分布。值得注意的是,随着应变从0.1增加到0.3,LAGBs的比例逐渐减少(从91%减少到59%),而MAGBs(从5%增加到12%)和HAGBs(由4%增加到29%)逐渐增加。随着应变的增加,形成了大量复杂的亚边界网络,包括LAGBs、MAGBs和HAGBs(图3b、c中用橙色箭头标记)。这表明,在连续拉伸过程中,亚边界逐渐转变为HAGBs。图4显示了沿图3中标记线L1、L2和L3的亚边界的位错取向分布。如我们所见,应变为0.3时大多数亚边界的角度偏差远高于应变为0.1时的角度偏差。进一步证实了LAGBs逐渐转变为HAGBs。热变形期间的这种结构变化是连续动态再结晶的典型特征。

图3 在应变速率为0.1 s-1时,铁素体微观结构的EBSD图和对应的取向位错分布图,对应应变为:a、d) 0.1, b、e) 0.2和c、f) 0.3(边界颜色代码:LAGBs(2°~10°):红色;MAGBs(10°~15°):绿色;和HAGBs(>15°):蓝色)。

图4:沿图3中的线测量的错位轮廓:a)L1、b)L2和c)L3。
图5显示了应变速率为5s-1时热拉伸期间的微观结构变化。由此可见,微观结构演变明显不同。应变为0.1时,次边界网络的形成缓慢且不足(图5a)。当应变增加到0.2时,可以看到奥氏体/铁素体界面上形成了相当数量的新晶粒,这些界面以HAGBs为界(用白色箭头标记,图5b,c)。这些新晶粒主要在奥氏体/铁素体相界处由HAGBs形核,然后通过HAGBs迁移逐渐长大成为铁素体基体。图5c中可以清楚地看到晶粒生长现象。成核和生长机制与不连续动态再结晶相似。图6显示了沿着图5中标记线K1、K2和K3的亚边界的定向位错取向分布。可以观察到,在0.1~0.3范围内,随着颈缩度的增大,亚边界的定向误差基本保持不变。在较低的应变速率下,亚结构不会过分生长。在高应变速率下,较短的变形时间可显著抑制铁素体中的DRV。在这一点上,铁素体的软化可以归因于不连续动态再结晶。

图5 在应变速率为5 s-1时,铁素体微观结构的EBSD图和对应的取向位错分布图,应变为:a、d)0.1,b、e)0.2和c、f)0.3(边界颜色代码类似于图4)。
如低应变速率0.1 s-1所示(图3d–f),在应变0.3、0.2和0.1时,LAGBs的平均角偏差分别为4.6°、4.5°和3.6°。在5 s-1中,LAGBs中对应于0.3、0.2和0.1的平均角度偏差分别为3.4°、3.2°和3.1°(图5d–f)。可以看出,LAGBs的数量随着应变速率的增加而减少。由于DRV的延迟,应变速率的增加可以推迟亚晶粒的形成。然而,HAGBs的百分比在应变过程中逐渐增加,表明DRX在热变形过程中存在,产生新的HAGBs。不同的角度偏差表明,铁素体的软化机制在不同的应变速率下是不同的。

图6:沿图5所示线路测量的错位轮廓:a)K1,b)K2和c)K3。
3.2.2奥氏体的微观结构演变
EBSD图显示,在所有应变速率下,奥氏体内部形成了以不完整亚晶边界为特征的复杂亚结构(图7和8)。可以看出,新形成的DRX晶粒在所有应变速率下都存在。然而,在不同的应变速率下,奥氏体的微观结构表现出不同的特征。在0.1 s-1的变形后,随着应变的增加,会形成更多的亚边界(图7a–c)。少量具有∑3孪晶界的细晶粒在奥氏体/铁素体相界和奥氏体晶界优先形核。图7d–f显示了在0.1 s-1的变形过程中,具有不同取向误差的晶界分数的变化。此外,MAGBs(从1.1%到4.2%)和HAGBs(由2.5%到9.2%)的比例随着应变的增加而增加。相反,在5 s-1应变速率和高应变水平下,奥氏体/铁素体相界和奥氏体晶界处出现更多具有∑3孪晶界的等轴奥氏体晶粒(图8b,c)。在图8c中,具有∑3孪晶边界的奥氏体晶粒的生长很明显。可以观察到,随着应变的逐渐增加,LAGBs的比例降低,MAGBs比例的变化不明显,HAGBs和∑3孪晶界分数的比例显著增加(图8f)。

图7在应变速率为0.1 s-1时,奥氏体微观结构的EBSD图和对应的取向位错分布图,应变为:a,d)0.1,b,e)0.2和c,f)0.3(边界颜色代码:LAGBs(2°~10°):红色;MAGB(10°~15°):绿色;HAGBs(>15°):蓝色;∑3孪晶界:黄色)。

图8 在应变速率为5 s-1时,奥氏体微观结构的EBSD图和对应的取向位错分布图,应变为:a,d)0.1,b,e)0.2和c,f)0.3(边界颜色代码类似于图7)。
3.3.断裂行为
图9为不同应变速率下拉伸断口附近试样的显微组织。在相边界处形成大量的微裂纹和孔洞,少数出现在铁素体相中。在较低应变速率(0.1 s-1)下,由于变形时间充足,微孔洞和微裂纹的尺寸和数量较大(图9a)。微裂纹在相边界处产生,并有向铁素体相扩展的趋势(图9b,c)。随着应变速率(5 s-1)的增加,微孔的数量和大小逐渐减小(图9d)。微裂纹在两相的边界处产生,但向铁素体的扩展趋势不明显(图9e,f)。图10为应变速率为0.1 s-1时拉伸断口宏观微孔洞的详细情况。如图10a-c所示,在拉伸过程中,试样中会产生大量的微孔,且大多数微孔产生在断口附近,即应变为0.3时。此外,在0.2和0.1的应变处还可以观察到微孔。微空洞的整体形态显示它们沿TD被拉长。

图9:(a)、(b)、(c)0.1 s-1和(d)、(e)、(f)5 s-1处断裂附近的微孔(黑色区)演变。

图10 0.1 s-1应变速率下的微观CT孔隙度分析。